پیش‌فروش بلیت اتوبوس اربعین از ۲۵ تیر/ تهران-مهران یک‌میلیون و ۴۶۲هزار تومان

فرهنگ

109970
پیش‌فروش بلیت اتوبوس اربعین از ۲۵ تیر/ تهران-مهران یک‌میلیون و ۴۶۲هزار تومان

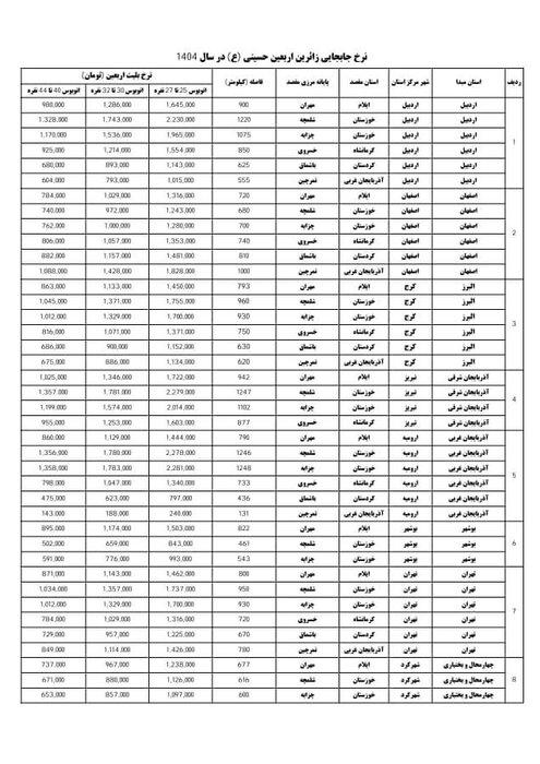
مدیرعامل اتحادیه تعاونی‌های مسافربری از آغاز پیش‌فروش بلیت اتوبوس اربعین از روز چهارشنبه (۲۵ تیرماه) خبر داد که بر اساس آن قیمت بلیت مسیر تهران - مهران (استان ایلام) یک میلیون و ۴۶۲ هزار تومان تعیین شده است.

ایران آنلاین: احمدرضا عامری افزود: بر اساس نرخ نامه اعلامی، نرخ بلیت تهران - مهران یک میلیون و ۴۶۲ هزار تومان، تهران - شلمچه یک میلیون و ۷۳۷ هزار تومان، تهران- چزابه یک میلیون و ۷۰۰ هزار تومان، تهران - خسروی یک میلیون و ۳۱۶ هزار تومان، تهران- باشماق یک میلیون و ۲۲۵ هزار تومان و تهران- تمرچین یک میلیون و ۴۲۶ هزار تومان تعیین شد.

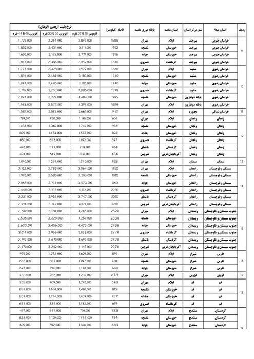
به گزارش ایرنا، نرخ بلیت اتوبوس از سایر نقاط کشور به مرزهای هفت‌گانه خروجی به سمت عراق بر اساس جداول زیر است.

اربعین

اربعین

اربعین


انتهای پیام/
دیدگاه ها